编者按:玻璃体视网膜淋巴瘤(VRL)是一种罕见的眼部恶性肿瘤,其主要病理类型为大B细胞淋巴瘤[1]。VRL的眼部治疗方法主要是通过甲氨蝶呤(MTX)玻璃体内注射[2],完整的眼内化疗周期包括诱导期、巩固期与维持期。然而,对于眼内化疗的具体治疗方案,临床上尚未达成共识。
在COOC 2023会议中,复旦大学附属眼耳鼻喉科医院常青教授与大家分享了玻璃体视网膜淋巴瘤的10年诊疗经验《与常青教授一起,回顾原发性玻璃体视网膜淋巴瘤十年诊治精髓》。在此基础上,最新研究表明:眼内液白介素-10(IL-10)水平、角膜后沉着物(KP)、视网膜下病灶可以作为监测VRL治疗效果的有效指标,IL-10>50pg/mL可提示眼部复发;眼内化疗的完成程度、早期的治疗频率,与化疗疗效及预后密切相关。目前,该研究结果已于2023年7月在American Journal of Ophthalmology上正式发表,通讯作者为常青教授,第一作者为顾骏祥博士。
研究方法
该研究为一项干预性非随机对照研究。
回顾了2011年1月至2022年1月间于复旦大学附属眼耳鼻喉科医院接受诊治的VRL患者。
入排标准
入选标准:
①病例明确的VRL患者,或病理明确的中枢神经系统淋巴瘤(CNSL)合并眼部典型VRL表现患者;
②至少完成诱导期MTX眼内化疗。
排除标准:①无基线临床资料;②眼内化疗过程中连续的眼部检查或白介素结果少于2次。
眼内化疗方案
单剂给药为MTX400μg/0.1mL玻璃体内注射。化疗分为3个阶段:
①诱导期:每周2次×2周,或每周1次×4周,共4针;
②巩固期:每周1次×4周;
③维持期:每月1次×6月。实际眼内化疗方案根据CNS受累/放化疗情况、患者意愿和依从性进行调整。
观察指标
眼部检查:最佳矫正视力(BCVA)、角膜上皮、KP、玻璃体混浊、视网膜浸润、视网膜下病灶。
前房白介素检测:IL-10、白介素-6(IL-6)、IL-10/IL-6比值。
治疗效果评价
完全缓解(CR):KP、玻璃体混浊、视网膜浸润、视网膜下病灶等眼部病变完全消失。
部分缓解(PR):上述体征好转但未完全消失。
疾病进展(PD):与前次随访相比,上述情况加重或复发。
研究结果
人口学特征
共纳入33人(23女、10男)58眼。
诊断VRL的平均年龄为57±12岁,平均随访长度为29±19月。
33眼完成了整个诱导+巩固+维持的眼内化疗疗程,18眼完成了诱导+巩固治疗,7眼仅完成诱导期治疗。平均每眼完成MTX眼内化疗9±3次。58眼中,52眼实现CR。
纵向分析
1.眼内化疗过程中白介素趋势
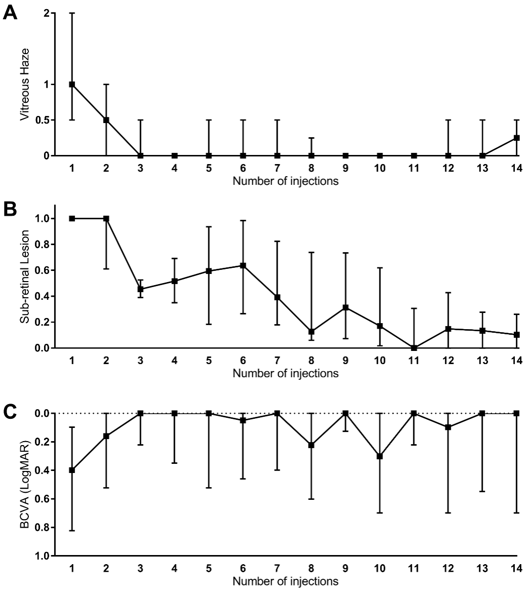
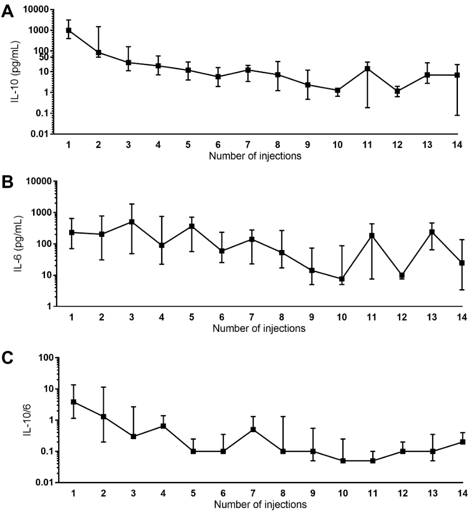
眼内化疗中,IL-10、IL-6与IL-10/IL-6随注射次数的变化趋势如图。
达到CR平均需要4针,使IL-10降至50pg/mL以下平均需要3针。达到CR时,平均IL-10为10.22pg/mL,IL-10/IL-6比值为0.06。
2.眼内化疗过程中眼部情况趋势✔ KP、玻璃体混浊、视网膜下病灶改善:与IL-10下降正相关(P均<0.001);与IL-10/IL-6下降正相关(P均<0.003)。
而BCVA与IL-10、眼内化疗进程关联不显著(P均>0.05)。
3.眼内化疗过程中眼部情况、白介素趋势逐次分析每次注射的获益可知:
IL-10/IL-6比值不随注射次数增加而显著改变,故IL-10/IL-6可能不是评价化疗效果的最佳指标。
IL-10随注射次数增加显著降低,初始3针下降显著,后趋于稳定。
KP、玻璃体混浊、视网膜下病灶与注射次数的增加相关,KP、玻璃体混浊早期即可降至最终水平,而视网膜下病灶在维持期才趋于稳定。
横向分析
1.初始频率对眼内化疗效果的影响初始注射频率:每周2次 VS. 每周1次或更低✘ 与IL-10下降速度无关(P=0.505)✘ 与IL-10降至50pg/mL以下所需针数无关(P=0.122)✘ 与达到CR所需针数无关(P=0.141)✔ 与是否能实现CR有关(P=0.011)说明初始高频率注射无法加快疾病缓解,但与更高的CR达成率相关。

2.持续治疗时间对眼内化疗效果的影响眼内化疗完整度与是否能实现CR相关。完成诱导期的基础上:✘ 仅追加巩固治疗,无法使CR率显著提升(P=0.096)。✔ 追加巩固+维持期治疗,可显著提高CR率(P=0.008)。
预后分析
33人58眼中,8人13眼(22%)出现眼部PD,平均眼部PFS为383天。
眼部PD时,平均IL-10为256.32pg/mL,平均IL-10/IL-6比值为2.91。
IL-10更适合作为复发评价指标,IL-10>50pg/mL作为复发阈值时有较好的检出率。
1.眼部PD的影响因素✘ 玻璃体切除术、系统性化疗、初始化疗频率与眼部PD相关性不显著(P=0.294,0.745,0.400)✔ 眼内化疗完成程度与眼部PD的发生率负相关(P<0.001)
2.眼部无进展生存期(PFS)的影响因素✘ 玻璃体切除术、系统性化疗、初始注射频率、随访时间与眼部PFS相关性不显著(P=0.281,0.826,0.335,0.095)✔ 眼内化疗完成度与眼部PFS长度正相关(P<0.001)
综上,至少完成诱导+巩固期治疗可显著改善预后。
研究结论
一、IL-10、KP、玻璃体混浊、视网膜下病灶,是眼内化疗的有效随访指标。IL-10、KP、玻璃体混浊是短期疗效指标;视网膜下病灶是长期疗效指标。
二、诱导期高注射频率(2次/周)可改善眼部化疗疗效。诱导期高注射频率与角膜上皮病变有关,但随频率下降可逆转。
三、眼部化疗疗程完成度越高,治疗效果、预后越好。诱导+巩固+维持,可有效提高眼部CR达成率;至少完成诱导+巩固,可显著降低PD发生率、延长PFS。
四、房水IL-10>50pg/mL可作为眼部复发的阈值。
【参考文献】
[1] Alaggio R, Amador C, Anagnostopoulos I, et al. The 5th edition of the World Health Organization Classification of Haematolymphoid Tumours: Lymphoid Neoplasms[J]. Leukemia, 2022,36(7):1720-1748.
[2] Chen T, Liu Y, Wang Y, et al. Evidence-based expert consensus on the management of primary central nervous system lymphoma in China[J]. J Hematol Oncol, 2022,15(1):136.
专家介绍
通讯作者 常青教授
复旦大学附属眼耳鼻喉科医院 教授、主任医师、博士生导师、玻璃体视网膜疾病学科主任
第一作者 顾骏祥
复旦大学附属眼耳鼻喉科医院 主治医师、眼科学博士
声明:本文仅供医疗卫生专业人士了解最新医药资讯参考使用,不代表本平台观点。该等信息不能以任何方式取代专业的医疗指导,也不应被视为诊疗建议,如果该信息被用于资讯以外的目的,本站及作者不承担相关责任。
京公网安备 11010502033360号
条评论
Linda Gareth
2015年3月6日, 下午2:51Donec ipsum diam, pretium maecenas mollis dapibus risus. Nullam tindun pulvinar at interdum eget, suscipit eget felis. Pellentesque est faucibus tincidunt risus id interdum primis orci cubilla gravida.