Leber遗传性视神经病变(LHON)是一种由线粒体DNA突变所致的罕见致盲性疾病[1],目前,我国累计患者已逾十万[2],其中约90%为15~35岁男性[3]。该疾病以急性或亚急性无痛性中心视力损伤为核心特征,典型临床表现为双眼同时或先后出现的无痛性中心视力丧失,发病后约6个月内视力常迅速进展至严重受损状态;进入慢性期后,多数患者视力难以恢复。传统支持性治疗效果有限,多数患者面临永久性视力损伤的风险。
2015年,全球首款且迄今唯一获批的LHON治疗药物Raxone™(艾地苯醌,150mg)获批上市,其通过绕过受损的线粒体复合物Ⅰ、维持细胞ATP合成并抑制氧化应激,实现了该疾病治疗领域的突破性进展[4]。此前,全球首个针对LHON的随机、双盲、安慰剂对照Ⅲ期临床试验——RHODOS随机对照试验[5]已初步证实了艾地苯醌治疗组在视力改善方面呈现更明显的趋势,但事后分析提示,6个月的干预周期可能不足以充分体现药物的潜在疗效,维持治疗可能带来更大益处,同时,该领域真实世界数据仍存在缺口。
在此背景下开展的扩大准入计划(EAP)研究,首次依托真实世界数据系统揭示了艾地苯醌在长期治疗(平均25.6个月)中的深度价值:约46%的患者实现临床相关恢复(CRR),50%具有残余视力的患者保持临床相关稳定(CRS),且未发现新的安全信号。该研究不仅填补了LHON长期治疗的证据空白,更为后续更大规模的IV期(LEROS)6研究提供了关键支撑。
本文将以EAP研究为核心,系统阐述艾地苯醌在真实世界中的疗效与安全性,深入探讨“早期干预、长期维持”治疗策略的临床意义。同时,本刊特邀复旦大学附属眼耳鼻喉科医院王敏教授针对LHON诊疗进展及临床研究的实践价值进行系统性梳理与深度点评,旨在为LHON的全程规范化管理与个体化治疗提供循证参考,推动我国罕见病诊疗水平的提升。
发掘本真
从机制突破到可及性提升,艾地苯醌作用机制与临床优势解析
艾地苯醌作为全球唯一获批的LHON治疗药物,其核心机制优势源于对线粒体能量代谢障碍的精准靶向干预[4]。回看疾病本身,LHON的本质是mtDNA突变导致线粒体复合物I功能缺陷,引发氧化应激失衡与ATP生成不足,最终造成了视网膜神经节细胞(RGCs)的不可逆损伤。艾地苯醌通过双重机制精准破解这一病理链条:1. 能量代谢改善:直接绕过受损线粒体复合物I,激活复合物II-III-IV的电子传递链,恢复RGCs的ATP合成能力;2. 抗氧化作用:艾地苯醌通过其在氧化态与还原态之间的可逆转换,不仅能直接清除活性氧、抑制脂质过氧化,还可干预花生四烯酸代谢通路,对环氧合酶和脂氧合酶的活性产生抑制作用,阻断“氧化应激-能量耗竭”的恶性循环(图1)。这种双重作用机制不仅有助于保护RGCs,还能重新激活处于静息状态但仍有存活潜力的细胞,为改善LHON患者的视觉功能提供可能[7]。在临床转化层面,艾地苯醌还具有突变覆盖广谱性,对m.11778G>A、m.14484T>C和m.3460G>A等主要突变类型均有效,且长期治疗安全性良好[5-6],为“早期启动、长期维持”的治疗路径提供了坚实的循证支持。

基于多项高质量临床研究及全球长期应用积累的证据,艾地苯醌的疗效与安全性已获得国内外广泛认可,并相继被纳入2017年《LHON治疗国际共识》[8]与2019年《中国LHON诊断与治疗专家共识》[9],成为LHON治疗的推荐药物。尤为关键的是,借助海南博鳌乐城国际医疗旅游先行区的“先行先试”政策优势,艾地苯醌已率先落地上海交通大学医学院附属瑞金医院海南医院。这一举措不仅为我国患者提供了与国际同步的治疗选择,也成为罕见病创新药物可及性提升的“中国实践”,有力推动了诊疗规范化与个体化进程。
循证进阶
艾地苯醌治疗LHON的精准医学策略:基于LEROS研究的多角度获益分析
一、长期治疗获益:从“短期观望”到“持续干预”的突破
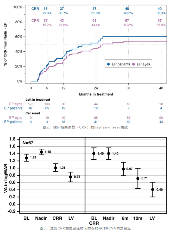
LEROS研究作为艾地苯醌(每天900mg)精准应用的关键循证支撑,通过前瞻性、开放标签、国际多中心IV期设计,创新性纳入症状发作后1-5年的LHON患者,并与匹配的自然史对照组对比,明确了长期治疗的持续获益:在亚急性/动态期(发病≤12个月),治疗12个月后临床相关获益(CRB)率达42.3%(vs. 自然史组20.7%,P=0.002),24个月时进一步提升至52.9%(vs. 36.0%,P=0.03)。这一优势源于临床稳定率(CRS)显著提升(12个月64.5% vs. 22.5%,P<0.001)及恶化率(CRW)显著降低(12个月29.1% vs. 58.5%,P<0.001;24个月25.8% vs. 51.0%,P=0.005),提示艾地苯醌长期干预可多维度保护视功能。更为关键的是,LEROS研究首次通过与大样本自然史队列的对比,提供了高级别的循证证据,表明在慢性期(发病>1年)启动艾地苯醌治疗,患者仍有可能获得显著的视力恢复,这挑战了传统的‘慢性期治疗无效’的认知:12个月CRB率达50.3%,24个月仍维持49.1%,且临床相关恢复率(CRR)随时间累积,同时CRW率显著下降。同时,Kaplan-Meier生存分析(图2)为治疗持续性价值提供了关键佐证,直观揭示了无论患者处于亚急性/动态期还是慢性期,CRR均随治疗时长的延长呈现持续累积趋势。

二、突变特异性获益:基于基因突变类型的个体化治疗策略分析
LHON的三类核心致病突变在自发缓解率、疾病进展模式及治疗反应上存在本质差异,这为不同突变类型的个性化治疗提供了宝贵思路:
m.11778G>A突变:最常见的突变类型,约占LHON突变类型的50%-70%,其自发缓解率最低(<10%)[6],但对艾地苯醌的治疗反应最显著。LEROS研究证实[5],该突变患者无论处于亚急性/动态期还是慢性期,艾地苯醌均显示出全面且显著的疗效,且治疗组与自然史队列的差距随时间进展逐渐拉大。
m.14484T>C突变:具有最高的自发缓解率(约37%~50%),但艾地苯醌的价值在慢性期(症状出现>1年)才真正显现。LEROS研究中[5],m.14484T>C突变组慢性期治疗的平均视力改善达-0.52 logMAR(26个字母),但亚急性/动态期未见统计学意义。这一现象并非单纯源于急性期高自发缓解率对药效的掩盖,而是可能由该突变独特的病理生理学特征与艾地苯醌作用机制的良好匹配决定。m.14484T>C突变相较于其他突变类型,在慢性期仍保持线粒体下游通路的相对完整,其引起的线粒体复合物I功能障碍具有可逆性:急性期的RGCs多处于“功能抑制但结构完整”状态,易自发恢复;慢性期后,细胞进入“低能量、高氧化应激”的休眠状态,但尚未发生不可逆死亡。艾地苯醌作为外源性电子载体,可逆转细胞的功能性休眠。LEROS研究数据提示,在慢性期观察到的显著治疗获益,有力地支持了艾地苯醌对该突变患者的主动干预作用,这超越了单纯用急性期高自发缓解率所能解释的范围。这提示对于m.14484T>C突变患者,慢性期可能是实现视力恢复的关键时间窗口,也为LHON的个体化分层治疗提供了重要依据。
m.3460G>A突变:突变样本量相对较小且自然史组自发恢复率较高(15%~25%),在12个月和24个月时,治疗组与自然病史组之间均未发现有统计学意义的差异,解读相关结果时需谨慎,必要时结合NQO1蛋白水平等因素展开进一步研究。
三、时间依赖性获益:LHON治疗窗口的动态定义
既往研究揭示了艾地苯醌疗效的时间依赖性,为“何时启动治疗”提供了量化依据:
m.11778G>A突变:一线首选,尽早启动(症状出现≤1年),治疗周期至少24个月,以实现最大程度的视力恢复。
m.14484T>C突变:慢性期(>1年)启动仍有价值,无需因“过了急性期”而放弃治疗,需延长随访时间至24个月以上以评估疗效。
m.3460G>A突变:因样本量有限,暂未观察到明确的分期治疗获益差异,早期恶化趋势亦无明确证据支持。这些证据进一步强调,LHON疗效评估时间节点选择上需避免“一刀切”,而应根据突变类型制定个性化随访计划:m.11778G>A患者需关注早期快速改善,m.14484T>C患者需耐心等待延迟获益,m.3460G>A患者需更多证据积累。
需要注意的是,尽管LEROS研究采用了严谨的匹配算法来确保与外部自然史队列的可比性,但其非随机、开放标签的设计决定了其结果仍需在真实世界临床实践中进一步验证。纵览以上结果,LEROS研究的核心设计亮点在于引入自然病程组作为对照,这一看似自然而然的决策,实则源于对2020年EAP研究的深度反思。EAP研究在真实世界中观察到的积极信号,及其无对照设计的固有局限性,共同为开展设计更为严谨的LEROS验证性研究提供了强有力的理论和现实基础,从而构建了从‘探索’到‘证实’的完整证据链。
实境淬炼
真实世界研究揭示艾地苯醌的长期临床价值与深远影响
既往,RHODOS随机对照试验已证实艾地苯醌的疗效与安全性,但RCT固有的入排标准严苛、随访周期固定、人群代表性受限等特征,使其难以完全映射临床实践中患者的异质性与疾病演进的复杂性。EAP作为真实世界研究[10],通过覆盖多突变类型、长周期随访的真实场景数据,填补了临床试验与真实临床实践之间的证据缺口,为“早期启动、长期维持”的治疗策略提供了直接支撑。

这是一项多中心、回顾性、非对照真实世界研究,纳入2011年至2018年参与EAP的111例LHON患者,所有患者均经基因确诊携带mtDNA突变且症状出现(最近受累眼)≤12个月。治疗方案为艾地苯醌900mg/天(150mg片剂,每日3次),治疗持续时间由临床医师根据患者病情决定。疗效评估采用两项核心指标:CRR定义为从无法辨认ETDRS视力表(>1.68 logMAR)恢复至至少阅读1行(5个字母),或最佳矫正视力(BCVA)改善≥2行(10个字母); CRS定义为基线视力<1.0 logMAR(未达法定失明阈值)的眼睛在随访中维持该视力。安全性评估记录不良事件的类型、严重程度及与治疗的相关性。
关键研究结果提示,艾地苯醌治疗LHON具有显著的长期疗效与良好的安全性,鉴于起病1年内的患者多经历视力急剧下降至最低点后部分改善的病程特点,创新性地提出“恢复”(即CRR)与“稳定(即CRS)”两个疗效评估维度。87例患者纳入疗效分析,平均治疗持续时间25.6个月,基线平均BCVA为1.23 logMAR。该基线特征与LHON自然病程中“快速进展至重度视力丧失”的特点一致,为评估药物的长期干预效果提供了严格的临床场景。
临床相关恢复(CRR)率:46.0%(40/87)的患者出现CRR,这一比例显著高于LHON自然病程中10%–30%的自发恢复率,印证了艾地苯醌可有效激活视神经的修复潜能;首次CRR平均时间为9.5个月,恢复程度随治疗持续时间延长而增加(图2-3)——从首次CRR时的0.45 logMAR提升至最终0.72 logMAR(相当于ETDRS视力表7行以上)。这一结果提示LHON的视神经修复是渐进性过程,长期用药可持续增强艾地苯醌的抗氧化应激与神经保护作用,逐步改善视力功能。

临床相关稳定(CRS)率:基线视力<1.0 logMAR的24例患者中,50%(12/24)维持视力稳定,平均BCVA从0.47 logMAR改善至0.29 logMAR(约9个字母)(表1)。LHON自然病程中,70%以上患者会在3个月内进展至BCVA>1.0 logMAR(法定失明),而艾地苯醌通过保护残余视神经细胞、抑制氧化损伤,显著延缓了视力恶化,甚至实现轻度改善,为保留患者生活质量提供了关键支持。

突变类型差异:尽管T14484C突变患者数量较少,但CRR率(75%)和CRS率(80%)均最高,恢复程度最大,达到CRR之前的治疗时间最短;G11778A突变患者以上两项指标均较低,而G3460A突变患者的相应比率大多介于其他两种突变之间(表1-3)。正如预期所料,这一结果与不同突变对线粒体呼吸链的损伤程度相关:T14484C突变对复合物I的影响较G11778A更轻,艾地苯醌的复合物I替代效应在损伤较轻的患者中更易发挥作用,为个体化治疗提供了分子层面的依据。

安全性: 在111例接受艾地苯醌治疗的患者中,32例报告不良事件(AEs)共65例次,其中大多数为轻度占60.7%;最常见的不良事件为胃肠道反应(17例次),其中腹泻发生率最高(5例次);仅9例因AE停药。这一结果与艾地苯醌的低毒性代谢特性(短链苯醌结构易被机体代谢)一致,未发现新安全信号,支持长期用药的安全性。
通过真实世界数据证实,艾地苯醌治疗LHON具有显著的长期疗效与良好的安全性。值得注意的是,即便患者存在严重的视力损害,仍可观察到治疗响应,且早期启动治疗可显著提升治疗响应率。为实现CRR的最大化可能,建议进行至少18至24个月的持续治疗,其原因在于:治疗初期可能出现一过性病情加重,而初始CRR后继续治疗仍可带来额外获益。此外,艾地苯醌每日900mg的用药方案所呈现的风险-获益特征,与既往发表的随机安慰剂对照临床试验结果高度一致。未来需进一步开展前瞻性对照研究,验证不同突变类型的精准治疗方案,以优化临床管理。
专家点评
LHON的临床困境不仅在于疾病本身的破坏性,更在于传统治疗手段与疾病生物学本质的严重“错位”。LHON作为一种线粒体DNA突变导致的能量代谢障碍性疾病,长期以来临床仅能提供支持性治疗,这种"对症不对因"的策略使多数患者不可避免地走向永久性视力损伤,青壮年患者面临的不仅是视力丧失,更是社会功能的全面崩塌。
艾地苯醌的治疗价值在于首次实现了LHON从"对症支持"到"机制干预"的颠覆性转变。该药物并非简单提供能量补充,而是作为外源性电子载体,精准对接线粒体复合物I的功能缺陷位,重构电子传递链,同时通过可逆的氧化还原转换发挥持续抗氧化作用。更关键的是,艾地苯醌能够"唤醒"那些处于功能性休眠状态但结构尚存的RGCs,这也解释了为何长期用药能持续带来视功能改善——它不是被动延缓病程,而是主动逆转细胞的能量饥饿状态。
EAP研究以真实世界场景验证了"时间维度"在LHON治疗中的关键意义。研究发现,平均9.5个月出现首次临床相关恢复,且恢复程度随治疗时间延长而持续增强,这打破了治疗窗口的固定认知。不同突变类型的患者对治疗的响应差异,实际上反映了线粒体损伤可逆性的异质性——m.14484T>C突变患者在慢性期仍能显著获益,正是由于其线粒体下游通路相对完整,为药物干预留下了空间。换言之,EAP研究的最大贡献在于它将LHON治疗从一个静态的"短期干预"重新定义为动态的"长期管理"过程,这一认知升级对临床实践具有深远影响。
作为临床医生,我们在解读LEROS这类开放性研究时,既要看到其为罕见病治疗带来的希望,也要清醒地认识到外部对照研究固有的局限性。特别是对于m.3460G>A这类相对少见的突变,个体化治疗决策仍需结合更多临床信息和生物标志物研究。
小结
EAP研究的核心价值在于,以“未经筛选的真实患者群体”为研究对象,首次系统验证了艾地苯醌在长期、连续、个体化临床实践中的稳健获益与可预测安全性。更重要的是,该研究进一步阐明了艾地苯醌的作用机制:并非仅针对急性期的“灭火”,更是对处于功能性休眠状态、尚存结构完整性的RGCs发挥持续的“能量唤醒”与“氧化保护”作用,重新激活了那些“存活却沉默着”的细胞,以恢复视觉传导功能,其"灭火"效应一直持续显现。总之,这一发现不仅为后续大规模4期研究LEROS奠定了理论基础,更通过长期治疗数据验证了LHON“早诊断、早治疗、早获益”的核心原则,且长期治疗获益更为显著,具有重要的临床实践价值。
参考文献
1. BARBONI P, et al. Am J Ophthalmol, 2023, 249: 99-107.
2. YU-WAI-MAN P, et al. J Med Genet, 2002, 39(3): 162-9.
3. YU-WAI-MAN P, et al. Am J Hum Genet, 2003, 72(2): 333-9.
4. CHKIOUA L, et al. BMC Genomics, 2024, 25(1): 1133.
5. KLOPSTOCK T, et al. Brain, 2011, 134(Pt 9): 2677-86.
6. Yu-Wai-Man et al., 2024, Cell Reports Medicine 5, 101437
7. WANG GY, et al. Journal of International Neurology and Neurosurgery,2022,49(4):73-79.
8. CARELLI V, et al. J Neuroophthalmol, 2017, 37(4): 371-81.
9. 中华医学会眼科学分会神经眼科学组. Leber遗传性视神经病变诊断和治疗专家共识[J]. 眼科, 2019, 28(5): 328-335.
10. Catarino CB, et al. J Neuroophthalmol. 2020 Dec;40(4):558-565.
声明:本文仅供医疗卫生专业人士了解最新医药资讯参考使用,不代表本平台观点。该等信息不能以任何方式取代专业的医疗指导,也不应被视为诊疗建议,如果该信息被用于资讯以外的目的,本站及作者不承担相关责任。
2 comments
京公网安备 11010502033360号
条评论
Linda Gareth
2015年3月6日, 下午2:51Donec ipsum diam, pretium maecenas mollis dapibus risus. Nullam tindun pulvinar at interdum eget, suscipit eget felis. Pellentesque est faucibus tincidunt risus id interdum primis orci cubilla gravida.