中国之声丨北京协和医院陈有信教授团队牵头全国多中心研究在Nature子刊发表:基于UWF图像的人工智能模型可用于慢性肾脏病筛查

  • 2024-11-30 12:04:00
  • 656 Views

编者按:眼睛是心灵的窗户。现有研究表明,眼部视网膜血管与肾脏、心脏和脑血管具有解剖、发育和功能上的相似性,视网膜血管能够反映全身血管的状态,甚至反映肾脏的健康水平。慢性肾脏病 (CKD) 是一种晚期治疗棘手且费用高昂的疾病,早发现、早治疗至关重要。现有的CKD筛查多依赖有创的实验室检测方法,非侵入性检测手段尚需进一步探索。近日,北京协和医院眼科陈有信教授团队牵头的全国多中心研究发表在Nature子刊NPJ Digital Medicine上(中科院一区,IF=12.4),介绍了团队开发的基于深度学习通过超广角眼底(UWF)图像预测CKD的人工智能模型(UWF-CKDS),为无创CKD筛查提供了新的思路。

自古有言,“眼睛是心灵的窗户”。21世纪以来,眼科影像学技术日新月异的发展进一步印证了这一观点。现有研究指出,视网膜血管与肾脏血管在解剖和生理上有许多相似之处,视网膜血管的改变可反映肾脏的健康状况。目前,慢性肾脏病(CKD)已成为全球重大公共卫生问题。2017年全球CKD患病率已达9.1%,约七亿人受其影响,且治疗成本高昂,仅肾脏替代治疗就可能消耗发达国家2-3%的医疗预算。但CKD患者的知晓率仅为12.5%,早期筛查仍面临巨大挑战。目前常规的CKD筛查主要依赖抽取血液样本来估测肾小球滤过率(eGFR),或留取尿液检测尿蛋白,有时甚至需要更具侵入性的肾脏活检,大范围筛查仍面临一定的困难。因此,临床上亟需开发无创、便捷且准确的筛查方法和生物标志物。


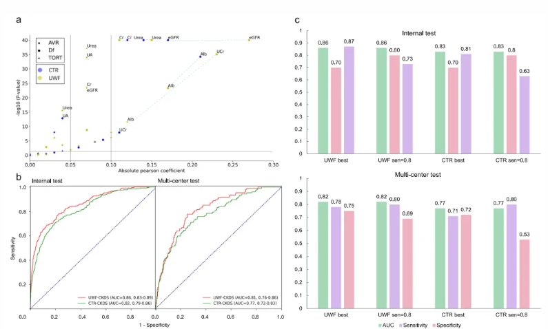
在既往研究中,陈有信团队开发了基于深度学习的NFN+血管分割模型,实现了全自动的视网膜血管识别与参数测量,包括血管分形维度(Df)、动静脉比(AVR)等,发现这些参数与肾功能指标的改变存在显著相关性,这也为依据眼底影像预测肾功能创立了理论依据。在此基础上,团队启动了由陈教授牵头的全国多中心研究,涵盖了来自19个省的23家三级医院,收集了患者的基线特征、病史、200°超广角眼底(UWF)图像及肾功能指标。首先开发了基于UWF图像的全自动视网膜血管参数(RMPs)识别测量模块 Unet++,并训练和测试了基于UWF图像的CKD筛查模型—UWF-CKDS(CKD+定义为eGFR <60 mL/min/1.73 m2)。此外,团队还开发了仅覆盖常规55°眼底区域的后极部模型(CTR-CKDS),用以评价200°的UWF图像的预测价值。


研究结果表明,团队开发的Unet++模块能够全自动且精准地识别测量UWF图像的各种RMPs。RMPs与部分肾功能指标之间存在显著的定量相关性(P<0.05),200°的UWF图像较55°后极部图像的相关性更好,其中Artery-UWF-Df与eGFR的相关性最佳(r = 0.31, 95% CI 0.28~0.33)。多中心测试结果验证了UWF-CKDS 用于 CKD筛查的可靠性(AUC=0.81,95% 0.76~0.86),其表现明显优于基于55°后极部图像开发的CTR-CKDS(AUC=0.77,95%CI0.72~0.83,P<0.05)。


21世纪是人工智能的时代,北京协和医院眼科团队致力于追逐科技前沿,引领创新发展。陈有信教授团队的研究成果为基于眼底影像进行全身病筛查这一新兴领域打下了坚实的基础,并为人群层面的CKD无创筛查提供了新的思路。


自2016年以来,陈有信团队一致致力于眼科的AI研究,从单模态、双模态、超广角、单病种和多病种以及眼底影像与全身病关联性研究。这是团队发表在NPJ Digital Medicine发表的第二篇论著。

图1. 研究总体技术路线图

图2. UWF图像的RMPs与肾功能指标的相关性更加显著;多中心测试显示UWF-CKDS的筛查效能明显优于CTR-CKDS



共同第一作者

赵欣宇

北京协和医院眼科主治医师,医学博士,临床博士后。聚焦于眼科AI和息肉状脉络膜血管病变的基础与临床研究。协助陈有信教授在全国范围内建立了中国PCV联盟,建立了世界上首个大宗PCV数据库。主持开展全国多中心研究4项。以第一作者或通讯作者在NPJ Digital Medicine、IOVS、JAMA Ophthalmol、Retina、Am J Ophthalmol等杂志发表论文40余篇,累计影响因子大于200分。作为第二完成人,获得了省部级华夏科技进步二等奖,北京协和医院医疗成果二等奖。主持国家自然科学基金青年项目等课题5项。获评北京协和医院优秀员工、优秀住院医师。博士期间于美国普渡大学交流学习1年。曾获国家奖学金2次。


古兴旺

北京协和医院2024级眼科专业型博士,师从陈有信教授,专注于人工智能技术在眼底疾病中的应用,及息肉状脉络膜血管病变的基础与临床研究。以第一作者身份在NPJ Digital Medicine等期刊发表SCI论文4篇(最高IF 12.4,累计21.4),中文核心期刊2篇。曾获北京协和医学院2023年二等奖学金。


通讯作者

陈有信

北京协和医院眼科原主任,教授,博士导师,中国医学科学院眼底病重点实验室主任。中华眼科学会常委,北京医师协会眼科专委会会长,国家防盲技术指导组副组长,中国老年保健协会眼保健分会会长,中华眼底病杂志副主编。长期致力于眼底黄斑疾病的临床与基础研究。在息肉状脉络膜血管病变及眼科人工智能和远程5G眼底激光治疗方面,积极探索。发表各类研究论文300多篇。相关科研成果获国家科技进步奖二等奖、北京市科技进步一等奖和二等奖,华夏科技进步二等奖。曾获“国之名医”及“人民好医生”称号。近年来聚焦眼科人工智能研究,任国家药监局医疗人工智能真实世界研究组组长,获得AI方面研究基金逾2000万,发表Nature子刊NPJ DIGITAL MEDICINE及Lancet digital health,BJO等AI方面的文章20多篇,研究团队帮助相关AI企业获得4张III类AI器械证。


声明:本文仅供医疗卫生专业人士了解最新医药资讯参考使用,不代表本平台观点。该等信息不能以任何方式取代专业的医疗指导,也不应被视为诊疗建议,如果该信息被用于资讯以外的目的,本站及作者不承担相关责任。


2 comments

发布留言

条评论

  • Linda Gareth
    2015年3月6日, 下午2:51

    Donec ipsum diam, pretium maecenas mollis dapibus risus. Nullam tindun pulvinar at interdum eget, suscipit eget felis. Pellentesque est faucibus tincidunt risus id interdum primis orci cubilla gravida.